Kesisoglou, Antonis, Nicolò, Andrea, Howland, Lucinda, Passfield, Louis (2021) Continuous Versus Intermittent Running: Acute Performance Decrement and Training Load. International Journal of Sports Physiology and Performance, . ISSN 1555-0265. (doi:10.1123/ijspp.2020-0844) (KAR id:87027)
Abstract
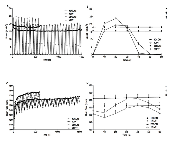
Purpose: To examine the effect of continuous (CON) and intermittent (INT) running training sessions of different durations and intensities on subsequent performance and calculated training load (TL). Methods: Runners (n=11) performed a 1500m time-trial (1500m TT) as a baseline, and after completing 4 different running training sessions. The training sessions were performed in a randomized order, and were either maximal for 10 minutes (10CON, 10INT) or sub-maximal for 25 minutes (25CON, 25INT). An acute performance decrement (APD) was calculated as the percentage change in 1500m TT speed measured after training compared with baseline. The pattern of APD response was compared to that for several TL metrics (bTRIMP, eTRIMP, iTRIMP, rTSS and sRPE) for the respective training sessions. Results: Average speed (P<0.001; ηp2 =0.924) was different for each of the initial training sessions which all resulted in a significant APD. This APD was similar when compared across the sessions, except for a greater APD found after 10INT vs 25CON (P=0.02). In contrast, most TL metrics were different and showed the opposite response to APD, being higher for CON vs. INT, and lower for 10 vs. 25 min sessions (P<0.001; ηp2 =0.563). Conclusion: An APD was observed consistently after running training sessions but it was not consistent with most of the calculated TL metrics. The lack of agreement found between APD and TL suggests that current methods for quantifying TL are flawed when used to compare CON and INT running training sessions of different durations and intensities.
| Item Type: | Article |
|---|---|
| DOI/Identification number: | 10.1123/ijspp.2020-0844 |
| Uncontrolled keywords: | Exercise, TRIMP, RPE, Heart Rate, Physical Endurance |
| Subjects: | G Geography. Anthropology. Recreation > GV Recreation. Leisure > Sports sciences |
| Institutional Unit: | Schools > School of Natural Sciences > Sports and Exercise Science |
| Former Institutional Unit: |
Divisions > Division of Natural Sciences > Sport and Exercise Sciences
|
| Depositing User: | Louis Passfield |
| Date Deposited: | 09 Mar 2021 10:22 UTC |
| Last Modified: | 28 Apr 2026 09:19 UTC |
| Resource URI: | https://kar.kent.ac.uk/id/eprint/87027 (The current URI for this page, for reference purposes) |
- Link to SensusAccess
- Export to:
- RefWorks
- EPrints3 XML
- BibTeX
- CSV
- Depositors only (login required):

https://orcid.org/0000-0001-6223-162X
Altmetric
Altmetric